DL(0) usuels et exemple
Un développement limité (DL) au voisinage de zéro porte le nom de Colin McLaurin. Vu sous cet angle, ce grand mathématicien écossais n’aurait rien fait d’autre que d’appliquer la formule de Taylor en un voisinage particulier, ce qui est évidemment faux. Toutefois, l’objet de ce site n’est pas de rendre justice en relatant les apports des uns et des autres aux mathématiques mais d’expliquer l’usage de quelques outils. En l’occurrence, voici quelques DL usuels au voisinage de 0 (on remarque vite que ces égalités deviennent ineptes au fur et à mesure que \(x\) s'éloigne de 0), ainsi qu’un petit exercice.
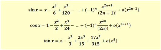
DL(0) usuels

Note : le DL(0) de \(\ln x\) s’obtient facilement puisqu’il suffit remplacer les \(x\) de la dernière formule par \(x - 1.\)

Fonctions trigonométriques réciproques :


Fonctions hyperboliques réciproques :

Rappel de la formule générale
\(f(x)\) \(=\) \(f(0) + \frac{x}{1!}f'(0) + \frac{x^2}{2!}f''(0)+...+\frac{x^n}{n!}f^{(n)}(0) + o(x^n)\)
Exercice
Trouver de deux façons différentes un polynôme d’ordre 3 qui, au voisinage de 0, présente un comportement proche de la fonction suivante :
\(f: x \mapsto e^{\sin x}\)
Première technique, avec les dérivées successives (application de la formule).
1- On sait que le sinus de 0 est égal à 0. Donc, \(f(0) = e^0 = 1\)
2- La dérivée d’une exponentielle a pour forme \(u’e^u.\) La dérivée de \(\sin x\) est \(\cos x\) (donc \(f’(x) = \cos x\; e^{\sin x}\)) et \(f’(0) = 1 \times 1 = 1\)
3- Quelle est la dérivée seconde ? La dérivée première se présentant sous une forme \(u(x) × v(x)\) la dérivée seconde a pour structure \(u’(x)v(x) + v’(x)u(x)\) avec \(u(x) = \cos x\) (donc \(u’(x) = -\sin x\)) et \(v(x) = e^{\sin x}\) (donc \(v’(x) = \cos x \;e^{\sin x}\)).
\(f''(x) = -\sin x\;e^{\sin x} + \cos x \cos x\; e^{\sin x}\)
Donc, \(f’’(0) = 1\)
4- Terminons par la dérivée d’ordre 3. La tâche devient rude.
Le premier terme : \((-\sin x\;e^{\sin x})’ = -\cos x e^{\sin x} - \sin x \cos x\; e^{\sin x}\) donc , en 0, \(-1 - 0 = -1\)
Le second terme : \((\cos^2 x\; e^{\sin x})’.\) Sachant que la dérivée de \(\cos^2 x\) est \(2\cos x × -(\sin x)\) nous obtenons :
\([2\cos x × (–\sin x)]e^{\sin x} + \cos^3x \; e^{\sin x}\) \(=\) \(0 + 1\) \(=\) \(1.\)
Donc, \(f^{(3)}(0) = -1 + 1 = 0\)
Conclusion : le DL3(0) de \(f(x)\) est \(f(x)\) \(=\) \(1 + x + \frac{x^2}{2} + o(x^3)\)
Seconde technique, utilisant les composées de fonctions usuelles :
En appliquant la formule du DL de \(\sin x\) (voir haut), on obtient, à l’ordre 3, \(\sin x\) \(=\) \(x - \frac{x^3}{6} + o(x^3)\)
Incorporons ce résultat au DL de \(e^x\) (voir encore plus haut) :

Les calculs se poursuivent par un travail de nettoyage qui aboutit à l’expression développée d’une fonction polynomiale de degré 9 dont nous vous faisons grâce. Mais si l’on ne retient que les termes de degré inférieur ou égal à 3, on retrouve bien le DL3(0) auquel nous sommes parvenu avec les dérivées successives.
Voir aussi les calculs de limites avec DL de McLaurin.
